BOCCIATA LA RIFORMA DI CASSA FORENSE
Dopo i botti di fine anno, è arrivata la nota ministeriale che blocca la riforma.
In evidenza
L’articolato non è mai stato pubblicato e le istanze di accesso respinte, in nome della trasparenza
Ricordiamo la vibrante soddisfazione dell’Ufficio stampa di Cassa Forense che preannunciava, al cinema Barberini in Roma, alla presenza del Ministro della Giustizia Nordio, urbi et orbi, la fumata bianca per la riforma previdenziale di Cassa Forense, che sarebbe dovuta entrare in vigore dal 1° gennaio 2024.
“Una svolta epocale per la previdenza degli Avvocati italiani con il passaggio, a settant'anni dall'Istituzione di Cassa Forense con la legge 8 gennaio 1952, n.6, da un sistema pensionistico retributivo ad uno contributivo, per far fronte alle mutate esigenze e rispondere alle previsioni emerse dall’ultimo bilancio tecnico attuariale a 30 anni” che ipotizzano, nel lungo periodo, problemi di sostenibilità finanziaria del sistema, così il Presidente di Cassa Forense.
Ora dopo i botti di fine anno, è arrivata la nota ministeriale che blocca la riforma.
L’articolato non è mai stato pubblicato e le istanze di accesso respinte, in nome della trasparenza.
Ora anche la nota ministeriale è segretata e, ancor oggi, le “ultimissime” sul sito istituzionale si perdono al 20 dicembre 2023.
Gli iscritti sono ormai dei sudditi!
Come se le osservazioni del Presidente della Repubblica sugli ambulanti non fossero di pubblico dominio ma si sa, la Cassa è autonoma!
Il Cdd tace, il CdA non è da meno e il Presidente ha raccontato, nella sessione straordinaria del Congresso Nazionale Forense in Roma, in caso di mancata entrata in vigore della riforma, di un danno in termini di cassa di 40 milioni, in realtà sarebbero 42, di minori incassi per il 2024 il che spiega perché il bilancio di previsione del 2024, pur se approvato, non sia stato ancora pubblicato.
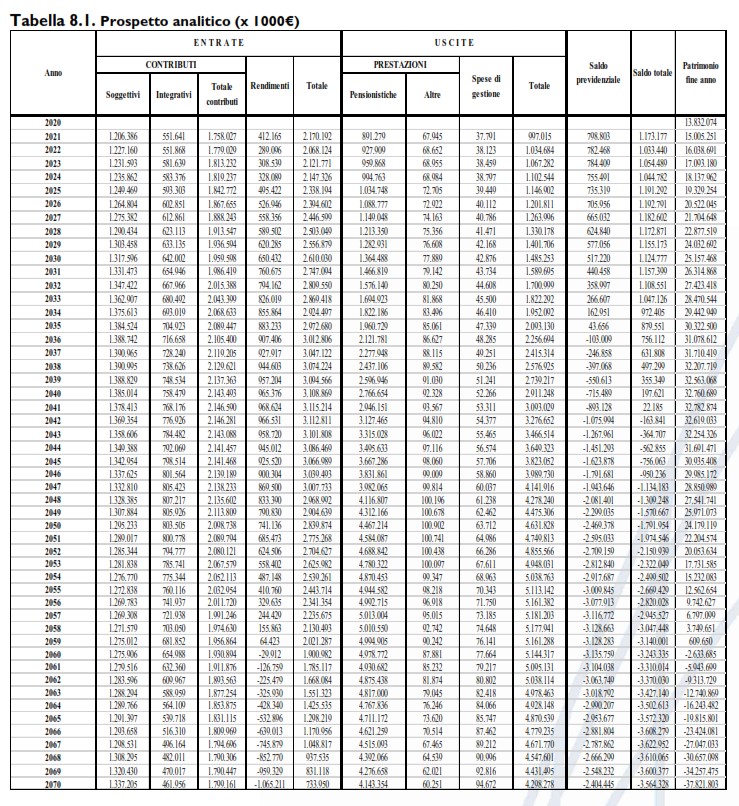
Deve essere chiaro a tutti che il mancato introito, conseguente alla mancata approvazione della riforma e sua entrata in vigore dal 01.01.2024, si riverbererà, e non poco, sul prossimo bilancio tecnico attuariale. Intanto rimangono i dati del bilancio tecnico al 31.12.2020 che certificano l’insostenibilità economico finanziaria di lungo periodo di Cassa Forense. È bene riprodurre almeno una tavola:

A questo punto è giusto porsi una domanda: di chi è la responsabilità e chi pagherà i danni a Cassa Forense?
Naturalmente non ci sarà nessun responsabile e i danni li pagherà Pantalone e cioè i sudditi.
Vi sono le condizioni per il commissariamento della Fondazione?
“La normativa sulle Casse, oltre ad essere incompleta per le ragioni dette, risulta anche datata, essendo sostanzialmente ferma al 1994, anno di privatizzazione delle stesse. Le modalità di esercizio dell’azione di vigilanza, delineate dal d.lgs. n. 509/1994 (con riferimento alle Casse privatizzate) e sostanzialmente riprese
dal d.lgs. n. 103/1996 (con riferimento alle Casse private), palesano infatti evidenti inadeguatezze, dettate dalla circostanza che si concentrano, non già sulla definizione da parte delle Casse di un appropriato processo decisionale, quanto sulla gestione di possibili situazioni straordinarie ormai conclamate.
Il legislatore dell’epoca si sofferma infatti sulle sole ipotesi di «gravi violazioni di legge» afferenti la corretta gestione della Cassa e di «disavanzo economico-finanziario», prevedendo in detti casi la nomina di un commissario straordinario con il compito, rispettivamente, di salvaguardare la corretta gestione dell’ente e
di avviare la procedura di rielezione degli organi dello stesso, ovvero adottare i necessari provvedimenti per il riequilibrio della gestione. La normativa non prevede invece quel processo di controllo e confronto costante ed ordinato fra vigilante e vigilato, che è il presupposto fondamentale per assicurare una vigilanza costruttiva tesa a prevenire il verificarsi di situazioni gestionali richiedenti interventi straordinari” (Fonte: Antonella Valeriani, Commissario Covip, Working Paper n.11).
Nel recente caso di INPGI 1 si è traslocato tutto in INPS, senza passare per il commissariamento.
Sulla responsabilità di quanto accaduto va detto però che i primi responsabili sono gli iscritti che, al momento delle elezioni per il Comitato dei Delegati hanno, in massa, disertato il voto.
Ma responsabili di quanto accaduto sono anche i Delegati per il conflitto di interessi che li ha divisi sui passaggi più importanti della riforma.
Abbiamo perso tempo prezioso, molte risorse economiche e il futuro si presenta sempre più incerto.
Di Paolo Rosa – Avvocato
Altre Notizie della sezione
STRETTA SUI COMPENSI ILGOVERNO SOTTO ASSEDIO
12 Maggio 2026Consulenti del lavoro, Avvocati e professioni unite: “Norma vessatoria, discriminatoria e pericolosa per legalità e servizi pubblici”.
FDI VS CASSA RAGIONIERI
11 Maggio 2026Coppo e Volpi interrogano i ministri su bilanci e sostenibilità. Pagliuca: “Nessuna irregolarità, conti solidi e trasparenti”.
LA RIFORMA FORENSE LUNEDÌ IN AULA ALLA CAMERA
08 Maggio 2026Primo sì in Commissione a Montecitorio
