LA SOSTENIBILITÀ A 50 ANNI UN SOGNO?
Tutto risale al comma 24 dell’art. 24 del d.l. 201/2011 che ha imposto alle Casse dei professionisti, entro il 30 giugno 2012, di fare riforme per una sostenibilità, con i soli saldi previdenziali, a 50 anni.
L’obiettivo, aveva spiegato l’allora Ministro Fornero era “rendere aderente la pensione all’effettiva storia contributiva di ciascuno e smettere di caricare sul futuro, e sui giovani, il peso di pensioni scollegate da quanto realmente versato”.
Pur tuttavia i Ministeri Vigilanti hanno approvato la riforma di Cassa Forense con una sostenibilità a 30 anni il che pone grossi problemi per chi oggi andrà ad iscriversi.
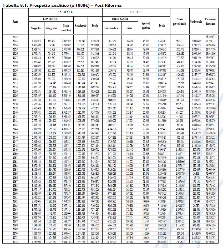
Oggi pubblico le tabelle 8.1 e 8.2 del Bilancio tecnico specifico di Cassa Forense post-riforma:


Dal 2044 il saldo previdenziale (entrate contributive meno uscite per pensioni) passa in negativo e tale rimane sino alla fine dei 50 anni considerati.
Questo significa che la sostenibilità della Fondazione dal 2044 in poi dipenderà dal rendimento del patrimonio che passa da 63.930.181 del 2044 a 80.705.045 del 2072 mentre dal 2025 al 2044 la progressione è stata da 21.817.710 a 63.930.181.
Mentre il gettito contributivo è certo, il rendimento del patrimonio è incerto.
Per questa ragione la Corte dei conti, nell’audizione in Bicamerale di controllo sugli Enti previdenziali del 30.11.2023, alla pag. 16 scrive: “In proposito, si impone una riflessione, fino alla predetta disposizione il legislatore non aveva offerto una definizione del concetto di equilibrio delle gestioni. Con il citato articolo 24 del d.l. 201/2011 convertito nella legge 214/2011 si introduce una disposizione chiarificatrice richiedendosi il mantenimento dell’equilibrio tra le entrate contributive e le prestazioni pensionistiche. Detto altrimenti, vero che la copertura delle prestazioni è istituzionalmente possibile con l’apporto del patrimonio ma le gestioni devono, nella volontà del legislatore, tendere alla corrispondenza tra contribuzioni e prestazioni, al fine di non incorrere nel depauperamento del patrimonio stesso”.
Nel caso di specie il depauperamento del patrimonio è palpabile!
Altre Notizie della sezione
PIÙ WELFARE PER GLI ISCRITTI ALLA GESTIONE SEPARATA INPS
06 Dicembre 2025Falcone (Lapet) Un passo avanti decisivo per rafforzare le tutele dei professionisti iscritti alla gestione separata Inps e consolidare le relative prestazioni di welfare
BOCCIATO IL TAGLIO AI COMPENSI
04 Dicembre 2025La Consulta stoppa la riduzione automatica per i tecnici di parte.
GLI INVESTIMENTI DELLE CASSE PER IL 2026
03 Dicembre 2025Stiamo concludendo un anno positivo un po’ su tutti fronti, ma crescono le incertezze per il 2026 e, conseguentemente, le strategie.
